Serwis Tweakers poprosił, a na tę prośbę ASUS ujawnił specyfikację mobilnych RTX 3000, jakie ma w swojej ofercie.
Podejrzyjcie specyfikację mobilnych RTX 3000
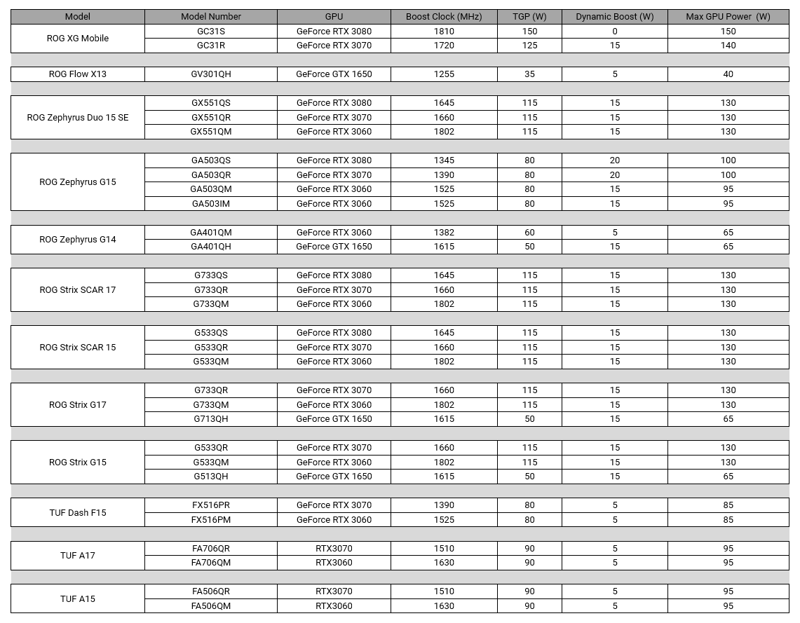
ASUS opublikował tę ważną specyfikację na swojej stronie internetowej, dzięki czemu można łatwo ustalić, który laptop jest wyposażony w które GPU i jakie z nich posiada ograniczoną moc, a jeśli tak, to w jakim stopniu. Specyfikacja wspomina nawet o zegarach dla każdego z układów.

Czytaj też: Płyty ASUS ROG Z590 z ciekawą funkcjonalnością
Czytaj też: Laptopy z RTX 3060 są już dostępne
Czytaj też: Czym jest DLSS firmy NVIDIA? Rewolucyjna technologia dla GeForce RTX pod lupą
W tabelce już na pierwszy rzut oka widzimy, że najpotężniejszym będzie model ROG XG Mobile z RTX 3080, którego TGP sięgnie 150 W, a jego zegar dobije 1810 MHz.

