Dostawy paczek dronami wydają się znacznie bardziej ekologiczne, niż realizowanie tego samego za pomocą tradycyjnych dostawczaków. Sprawa jest jednak bardziej skomplikowana, niż mogliśmy przypuszczać.
Już teraz organy regulacyjne lotnictwa na całym świecie współpracują z takimi firmami jak Amazon, UPS i DHL, aby ustalić ścieżkę rozpoczęcia usług dostaw dronami. Jednak firmy najpierw powinny zaznajomić się z najnowszym badaniem prosto z Niemiec. To wskazuje bowiem, że drony są niewspółmiernie bardziej energożerne, niż samochody dostawcze.
Oczywiście trudno wyobrazić sobie, jak jeden szybki dron, niemuszący poruszać się na ruchliwych drogach, może być gorszy dla środowiska, niż wielki samochód, ale ma to sens. Dron musi nie tylko zadbać o dolecenie na miejsce, ale też sprostać wadze ładunku, warunkom w powietrzu i co najgorsze – swój lot odbywa tylko z jedną paczką.
Nie dziwią więc nas wyniki badań naukowców z Martin Luther Universitat w Halle-Wittenberg. Ci przeprowadzili obliczenia dotyczące dostaw miejskich i wiejskich, porównując drony z samochodami dostawczymi i elektrycznymi oraz dokonali zaskakujących odkryć.

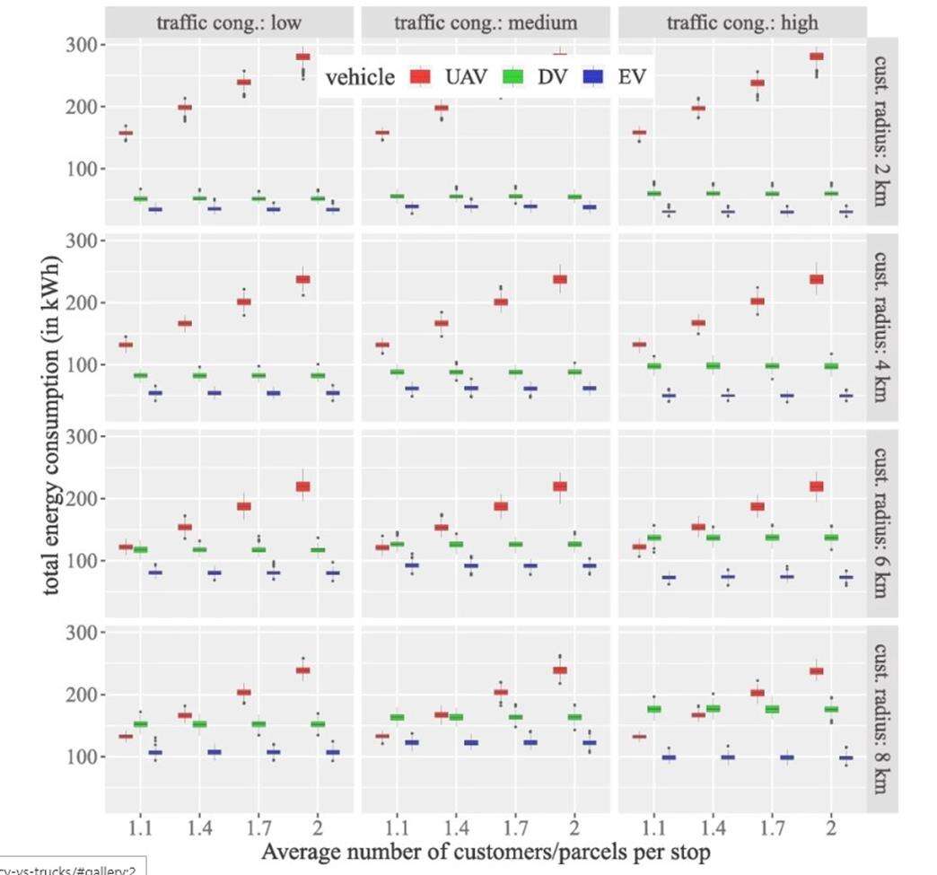
Na podstawie symulacji przeprowadzonych w Berlinie i okolicach naukowcy odkryli, że na gęsto zabudowanych obszarach miejskich elektryczne samochody dostawcze są zdecydowanie najbardziej energooszczędną opcją dostawy. W tej sytuacji samochody dostawcze z silnikiem Diesla zużywają około pięć razy więcej energii, a drony zużywają około 10 razy więcej.
Czytaj też: UPS będzie dostarczać lekarstwa dronem do szczególnej miejscowości
Gęstość zaludnienia jest tutaj kluczowym czynnikiem; samochody dostawcze mogą przewozić dosłownie setki przedmiotów na raz. Powyższe liczby zakładają, że samochody dostawcze przewożą po 100 paczek i że wszystkie paczki ważą 2,5 kg.
Co ciekawe, te same warunki na wsiach sprawiają, że drony nabierają sensu, dzięki większej odległości pomiędzy odbiorcami. Gdy klienci znajdują się w odległości do 8 km od centrum dostaw, a warunki są idealne, drony stają się bardziej wydajne niż samochody dostawcze z silnikiem Diesla w przypadku pojedynczych dostaw.


